返回 行业资讯
换向时的电流行为
恒定的转矩要求时不变的恒定电枢磁动势(电枢电流)垂直于励磁磁场。而换向器会把线圈电流以电枢频率对正相位地换极,它还会快速闭合那些在无场极缺口的导体回路到电刷上。
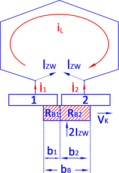
如下图所示,以υK速度运动的电刷从换向片1经过时,支路电流IZW先沿顺时针方向进入线圈,此时导体电流 iL > 0;
紧接着电刷移动到换向片1和2中间,正好同时接通,那么相当于此时换向片1和2上地线圈环被断路了,iL =0;
电刷继续移动,完全覆盖换向片2,支路电流流入导体线圈,iL < 0;
整个过程中线圈电流由正过零再转负,实现了换向。而其实各个线圈环都串联着,所以一开始流入换向片1地电流会从另一侧另一个接触电刷流出,而之后从换向片2流入的电流也是从另一个此时恰好接触的电刷流出,在换向时间以外的电枢线圈电流会受外部电路影响,而流经电刷的电流在换向时是不改变方向大小的。
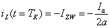
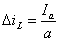
可知电枢线圈中电流在换向前
,换向之后为
,所以换向时电流变化量为
,而换向过程的线圈电流变化只跟电刷电阻和线圈电感有关。
所以有电刷宽度bB,电枢换向器直径 DK ,电刷数量K
![]()
换向器圆柱外围的线速度υK,转子转速,即转数 n
υK=πDK·n
换向时间TK
![]()
在很高的转数下,TK 甚至可以小于等1ms。
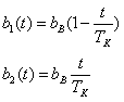
考虑换向过程中的电阻切换,电刷相对换向器有运动速度υK ,和换向器的接触宽度是时变的。把原来换向片1部分接触宽度记作b1,有电阻RB1,后来接触换向片2的宽度记作b2有电阻RB2,那么

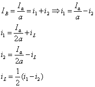
此时在电刷上电流IB有两部分

此时电阻和宽度有关,有以下关系
![]()
代入iL得
![]()
可见在TK内,换向时电流行为符合一次函数。

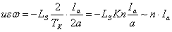
然而在极短的换向时间内,电流的剧烈突变令线圈的自感现象无法忽视。电流变化会产生电流换向电压
![]()
线性电流变化会得出
,其中Ia和内生转矩大小有关,可见,当负载变大,转数变大的时候,电流换向电压也随之增大。因为楞次定理,电流换向电压会反抗自己的产生,这意味着换向的过程会被延迟,这会导致在换向终点更陡峭的电流曲线。
换向终点的极高电流换向电压积蓄了电磁能,会在电刷边沿处击穿空气,产生电火花,电弧,即所谓的电刷打火,这会对换向器和电刷带来更多的磨损。所以我们的目标应该是尽量获得线性的换向电流曲线。为了实现这个目标,可以通过对电流换向电压补偿,比如在更大的电机里会装入所谓的换向极。换向极会被装在换向区(中性区),换向绕组回合电枢绕组串联起来。
换向极
换向极在横轴产生了换向磁场,正好电枢电流会在极缺口产生电枢横向磁动势ΘA(电枢反应),但正好与换向场反向。这些电枢反向的磁场可以通过补偿极的补偿磁动势部分抵消。对于未饱和的换向极使用安倍环路定理,Hω是换向极磁场强度,δω是换向极气隙宽度,换向极磁动势Θω,换向极匝数Nω,则有
Hω·2δω=Θω-Θ'a=2NωIa-Θ'a
电枢反磁动势Θ'a=Θa-ΘK=Θa(1-ai)~Ia=(1-ai)c·Ia ,
c比例系数,那么换向极下的气隙磁场有
![]()
一个NS匝线圈上换极磁场的感应电压为
ui,ω=NS·2πDa·n·lFe·Bω
代入式则有
![]()
显然换向极感应电压也和电枢电流大小以及转数成正比。通过合理布置换向极线圈就可以产生这样的感应电压,来补偿电流换向电压并且把极缺口处的电枢反向磁动势抵消。理想情况下ui,ω-uSω=0那么就会达到平衡。整个换向电路上消去感性部分,只剩下纯阻性的换向。
现实中这个换向极补偿电压可能不仅抵消了换向电压,还会多出来额外电压,ui,ω-uSω>0,导致"过换向",表现为换向过快,电流变化过于平缓;抑或是补偿不够,ui,ω-uSω <0,出现所谓的"欠换向",表现为换向过慢,电流变化过于剧烈。
综上所述,换向过程中线圈电流方向大小会周期性交替变化,变化过程中会感应出阻碍并催生延时的电流换向电压,换向电压大小和转子转数以及电枢电流强度有关,如果换向电压过大,积蓄电磁能致使击穿放电伤害换向器。引入换向极绕组,反向补偿换向电压,还可以遏制电枢反应,合适的换向补偿可以控制电枢线圈换向过程保持纯阻性,而非感性或是容性。