返回 行业资讯
电枢反应
从直流电机正常工作的电枢转子在横截面看,经历换向后,正在通电的导体分布,正好会处于相对静止的状态,留下一个横向磁动势Θa,而它正好和竖直方向的主极励磁绕组对应的励磁磁动势Θf相垂直,这个横向磁动势会和原本励磁磁动势叠加在一起,这样叠加以后的合成场ΘR的方向就发生了偏移。
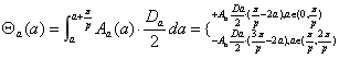
加载时的气隙磁场,只有在磁路的线性区可以把励磁磁场和电枢磁场完全分开独立地计算和叠加,所以之后想要更进一步考察,就要维持铁芯是理想磁导材料的假设( μFe→ ∞),这样在铁芯区域的磁压压降就可以忽略不计了,那么使用环路定理的积分路径又要选择一个极宽上外围整圈。
![]()
对于这个极的包围的励磁磁动势Θf (a)

是对于范围内
(上图磁极的上端)以及
(上图磁极的下端)有值的部分,其中ai为极覆盖率。而当角度处在励磁磁动势的极缺口的时候,自然是没有值的。
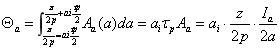
现在引入截面电流分布的概念,它指的是每单位厘米长度的截面上正在通过的电流强度,单位为[A/cm]。它是从绕组导体在圆周上离散分布的计算的概念中衍生出来的。一般地,我们考察的有效长度正好为圆周走向,所以电枢的截面电流分布Aa(a)

根据定义可知,对一段长度内截面电流分布的积分即为这段长度截面内通过总电流强度,即磁动势大小在这段长度上的分布。它是在两个极上俩连续变化的一次函数构成的分段函数。

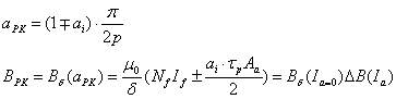
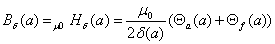
最后合成的气隙磁通密度为
![]()
而在极缺口处的电枢磁动势会极大削弱有效气隙长度。

电枢反应的后果
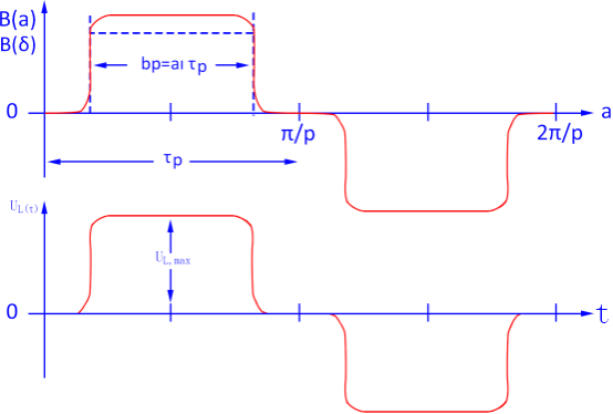
由于电枢反应,最后合成的磁场就会发生扭曲变形,在正常工作的极区也不再是匀强磁场。如图所示,通过电枢反应产生的磁场扭曲会强化进入极边缘处的场强,弱化离开极边缘的场强,而这种扭曲程度取决于电枢电流的强度。aPK 为极边缘的圆周角度,那么此时在磁通密度在极边缘的分布为

如果磁场出现磁饱和那么在进入极边缘的过剩场强会被削弱一些,磁饱和的电枢反应会减少每一极的磁通,会导致电动机不稳定工作状态输出巨大负载的时候增加不必要的转矩损失。
电枢反应的结果就是,合成磁场矢量发生了偏移。在电动机状态的时候,磁场偏移会与旋转方向相反,这会导致磁场中性区的偏移,因为电流换向电压被提高了,换向过程恶化。除了磁场,换向片也会被影响。
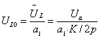
换向片上也会被分配一定的分区电压,强度为相邻两片换向片之间的电压。当电枢电压均匀分配到所有换向道口,就总会在俩道口之间附加一个平均片层电压![]()
![]()
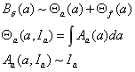
因为一个电枢线圈上的感应电动势Ui,spule除了转数n以外还与气隙磁通密度Bδ的有关。
Ui,spule(t)=2Na·πDa·lFe·Bδ(a(t))·n
在一个叠绕绕组上的两片换向片之间总是有一个电枢线圈,而在波形绕组则是p个线圈有着近似等大的电压。而片层电压就表现得恰好类似于其所从属的电枢线圈的感应电压。
UL(a(t))~B(a(t))·n
在极缺口没有磁场,线圈边处在极缺口的部分就不会有感应电压,自然从属的分区电压亦为零。而在励磁极区下的电枢电压会被均匀分配到一个极下的线圈上和对应的换向片上。处在空转下的最大片层电压 UL0

蓝色虚线为原本空转的片层电压,而红色实线为带了负载后的情况。可见片层电压扭曲变化情况和气隙磁场扭曲情况一致。电枢反应导致的磁场扭曲在进入极边缘处提高了气隙磁感应强度,而对应的最大片层电压也成比例地提高了

在很高的负载下的直流电机会局部出现极高的分区电压。在弱磁控制下,片层电压的平均值到峰值的比例会变得尤为不经济,这种情况下,电枢反应又会强势来袭。当片层电压超过边界值(通常为40V)就会导致片层之间的击穿放电,这也可能导致整个换向器一圈表面都产生电弧火花。
补偿绕组
为了避免电枢反应带来的种种危害,必须从原理上抑制,也就是减弱乃至彻底抵消电枢反应带来的偏移磁动势。

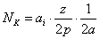
可见电枢反应产生都是和圆周上的截面电流分布有关,所以我们可以反其道而行之,在附近的定子励磁极上加以产生与电枢偏移磁动势反向的补偿绕组就可以补偿掉了。为了在定子励磁极加上补偿极,需要在极靴周向开槽,然后再把补偿绕组放入,补偿极绕组也可以和电枢串联,但是要保证和电枢电流方向相反。
加了补偿极以后,由于通入电枢电流,那么总共需要补偿的磁动势为ΘK
ΘK=NK·Ia=Θa
而电枢反应产生的磁动势Θa为

那么所需的必要导体数NK为
![]()
所以最后的气隙磁场为所有磁动势总和激发出来的
![]()
上图可知,蓝色虚线为未加补偿极和换向极之前的磁动势分布和气隙磁场分布情况,现在加了补偿极和换向极以后,变为红色实线,多出来的磁场扭曲都被有效遏制了,若是很多对极的以及昂贵的高端直流电机,一般都会加入一对补偿极和换向极绕组。
直流电机电枢反应的产生原理,它来源于不断换向时相对于定子静止的电枢截面电流分布产生的电枢磁动势,它使得整个磁场方向发生了偏移,扭曲了磁场并且产生了较高的换向片片层电压,增加了换向器释放电弧隐患。想要消去电枢反应可以采取在极靴上布置补偿绕组,补偿绕组的反向磁动势能够把经电枢反应偏移的磁场调回原来的位置。