返回 行业资讯
永磁励磁方式在直流电机及同步电机、步进电机中用来工业伺服驱动,如汽车辅助驱动、办公家电等驱动设备中应用。永磁体励磁比电励磁绕组体积更小、工作效率更高、动态性能更高,不过它的强磁材料价格昂贵、磁体的边缘区域会有退磁现象及难以进行弱磁控制。
直流电机永磁体的工作点
目前绝大部分永磁体都是通过人工磁化生产的,材料的磁化过程可以用磁化的迟滞曲线描述。第遥象限部分就是退磁曲线了,如下图,刚进入时,外加磁场强度为0此时材料保留的为剩磁 Br(0,Br) 。继续加反向磁场则磁感强度持续下降,直到达到所需的工作点(H0,B0) 。如果继续加强反向磁场,则材料的磁感强度会继续衰减,直到0,此时的磁场强度称为矫顽磁场强度HcB(HcB,0)。
实际工作的时候永磁体确实会被电机中电流激发的不停变化的磁场所影响,尤其是在交流电机中,总会有些许退磁,所以还有一个对环境磁场的边界要求,有边界磁场强度HG。如果超过边界磁场强度那就会对永磁体产生永久性的部分退磁化。当然一般的直流电机正常工作过程所产生的退磁相比于由于高温所造成的退磁还是可以忽略不计的。
工作点为(H0,B0)的退磁曲线
直接考察非线性的退磁曲线比较困难,为了简化问题可以考察一段线性的工作区域。姑且可以认为,在边界磁场强度以上的部分都是近似线性的,因为这段区域对外磁场和温升有较高稳定性。经过线性化则有磁感强度B。
B=Br+μ0μrH
对于永磁体的材料选择,经典的选择一直是铁氧体磁铁(Ferrit)、铝镍钴(AlNiCo)磁铁、钐钴磁体(SmCo)、钕铁硼磁体(NdFeB)等。其中钕铁硼磁体和钐钴磁体是来源于稀土元素的强磁体,对温度比较敏感,需要控制温升。而且为了避免腐蚀的损害,使用时需要在永磁材料表面做保护处理。
几种永磁材料的退磁曲线
计算气隙永磁励磁,也是要用一个极宽内环绕的磁回路。继续保持壳体和电枢铁区域的完全磁导(μfe→∞)以及忽略漏磁。永磁体厚度为hM产生的场强为HM,应用环路定理有2HM·hM+2Hδ·δ=Θa![]()
磁通密度计算的积分路径
气隙和永磁体的有效磁通面积可以近似相等,那么根据磁通无源性可知Bδ=BM,代入上式可得磁路的工作曲线为直线一次函数

将它和退磁曲线BM=f(HM)结合起来分析可以得到最终磁性材料的工作点。从图中可以看出,电枢产生正的磁动势时,工作点右移,气隙磁感强度增强;电枢产生负的磁动势时,工作点左移,气隙磁感强度减弱。
确定直流电动机的工作点
如果使用线性化的退磁曲线函数,那么改写(6.1)可得线性方程组
BM-μ0μrHM=Br

解得永磁体励磁的工作点坐标(HM,BM)


上式也就是说明,在电动机负载工作过程中,气隙磁场密度分布会由于电枢反应发生变化。如同上一章分析的一样。不同的是,永磁励磁环境的电枢反应会弱于电励磁的,因为有效气隙宽度增大为δ+hM

四极永磁励磁直流电机的额定电流下气隙磁场扭曲
在进入极边缘依然有被电枢反应增强过的磁场强度,也就是说,会有退磁危险。这就要求电机设计时尺寸设计必须满足条件,使得在更大负载下也不会超过边界磁场强度HG。对于永磁励磁直流电机来说,电路和电励磁是基本一致的,只是励磁电路被替代了,并且生成恒定气隙磁通Φ。

增大负载后扭曲更强烈的磁场
直流电机等效替代电路图
通过改变励磁电路的设计,得到许多直流电机的变体:并励电机、串励电机、他励磁电机、永磁励磁电机这些不同励磁方式会给直流电机的稳态以及动态工作行为和工作效率带来影响。现在只考虑稳态工作行为。并且假设换向极和补偿极绕组总是会和电枢绕组电路串联。
并励电机
并励电机的励磁绕组和电枢绕组并联,那么在电网输电时就可以用变阻器调节电枢和励磁回路来实现转数控制,下面为并励电机的等效替代电路图。并可以得出对应的电路关系式。

并励电机的等效替代电路图
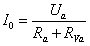
Ua=(Ra+RVa)Ia+K1Φfn=Ue=(Rf+RVf)If
M=K2ΦfIa
Φf=K3If
联立三式可得并励电机的转数n和转矩M的关系式

励磁磁通有以下关系

直流电机总的电流I为

可见当启动状态时(n=0,Rf>>Ra),启动电流I0为

当电机空转时,转矩为0,那么空转转数n0;与之对应的,转数为0,有电机静止转矩 M0![]()

那么可以继续改写

并励电机的n-M机械特性曲线
串励电机
串励电机的电路里,励磁电路串联到电枢电路上,励磁电流等于电枢电流,两者是相互影响的。这种情况下可以通过并联一个可变电阻RP到励磁电路上,来实现弱磁控制。

串励电机的等效替代电路图

出转数和转矩关系,取正为电动机模式,取负为发电机模式。


串励电机的n-M机械特性曲线

那么静止电流I0和有电机静止转矩M0

当电流越小的时候,转速会越来越大,不过空转转数不能真的按照机械特性曲线那样逼近无穷大,持续弱磁降低电流也会降低功率,无法继续提速。
他励电机
前面并励电机和串励电机,励磁电路都和电枢电路有关,但是他励电机的励磁电路是完全独立的。可以得到关系式
他励电机的等效替代电路图
空转转数n0和有电机静止转矩M0 ![]()


不同空转速度的他励电机的n-M机械特性曲线
总的来说,他励电机和并励电机机械特性曲线很类似。但他励电机励磁电路和电枢电路无关,可以很容易,更自由地调控。总的转数控制策略是:
①在低于空转转数n0时,就在最大磁通下,改变最大电枢电压UA ![]()
②在超过空转转数n0时,就采取弱磁控制,在最大电枢电压UA下,逐渐降低磁通
直流电机工作区域
如图,在左侧基本转数区采取策略①,是保持恒转矩启动加速,功率也是恒定的;当达到空转转数n0时,处于中间弱磁区,采取策略②,保持恒定功率和最大电枢电压UA,但是会因为降低了磁通,逐步减小了转矩;在超过换向转折点的右侧弱磁区,电枢电流和转矩持续下降,这样才能继续提高转数。
永磁电机
永磁电机的等效替代电路图和他励电机是一样的,而且n-M机械特性曲线也遵循了同样的线性关系,唯一的区别就是由永磁体产生的励磁磁通是恒定的,无法直接调节的!
![]()
由于无法调节励磁磁通的大小,弱磁控制对于永磁直流电机来说也难以实现了。
直流电机总结
直流电机的内容到这里基本结束,现在由于电力电子技术的发展,与高频开关相结合的控制技术使得直流无刷电机越来越受到重视。这将是一个直流电机的发展方向,不过传统有刷电机还是依靠结构简单,成本低廉以及稳定耐用在广大市场上占据不可或缺的地位。