
返回 行业资讯
直流电机知识分享:微型直流电机控制
微型电机驱动控制结构:一般说来,微型电机驱动时所关心的主要功能,就是其微电机输出轴的转矩M以及转数n。这两个参数共同作用,在合理机械结构的延展下,微电机就可以作为动力源,驱动各种设备,也就是一般自动化设备结构中的执行器。实质上,它就是将输入信号对应地以转矩以及转数的形式输出。
我们知道电动机输入信号是电压或是电流,对这些电信号在时域上合理编排,并且输出正确的电信号序列,就是控制器的功能。


三相驱动系统框图
上图是一个三相驱动系统,包含三相电源,整流逆变电路,数字控制器,角度编码器以及微型电动机,这也构成了一个基本的闭环反馈控制结构。中间的整流逆变电路即能够实现AC/DC以及DC/AC,即交流-直流,直流-交流的转换,在中间会用到PWM改变信号幅值以及频率。
基本的级联闭环控制结构

级联闭环控制系统实现转数可变的驱动

直流电机的受控模型
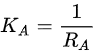
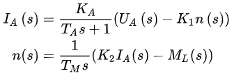
直流电机的控制可以直接使用之前的直流电机模型、电压、转矩和功率,于是有

使励磁强度不变,把其他因素认为机械常数,简称增益K1则电枢电路感应电压


可以改写为:

同理,设增益K2有


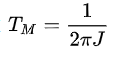
转子的转动惯量J,机械转数Ω=2πn,负载转矩ML:

如果把电枢电压UA视为控制输入,负载转矩ML视为扰动输入,则设电枢时间常数为




整理可得:

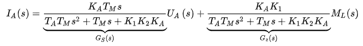
系统输入电压输出电流的传递函数Gs(s)以及扰动的传递函数Gz(s),它们之间有关系:

于是可以画出恒定励磁下的直流电机的传递函数框图


直流电机的传递函数框图
其中TA是一阶环节


直流电机的电流环反馈控制
如果我们希望电流完全受控,那就要引入一个完整的控制环节,比如使用PI控制器,其比例积分增益为KP,积分时间常数为Ti。


直流电机的电流环传递函数框图
其传递函数为:

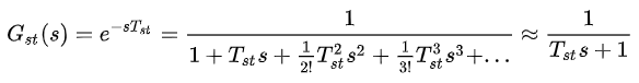
由于控制信号会有延迟,但是影响不大,延迟时间Tst可以约化为一阶环节:

忽略负载转矩的扰动影响,则原来的电压电流传递函数Gs(s)可以进一步化为时间常数分别为T1T2的极点形式:

以一些合理参数为例,其伯德图为:

直流电机电压电流传递函数伯德图
所以电流控制开环传递函数为:

假设延迟时间Tst<<T1,T2,TM并且T1>T2,故取Ti=T1,则:

则电流环闭环传递函数为:

电流闭环增益



直流电机电流环增益变大的伯德图
可知,通过提高KP可以增大电流环带宽。
直流电机的转数环反馈控制
如果想对直流电机的转数进行控制,可以在电流环外面再套上一圈转数环(速度环),进行反馈控制。可以再度使用一个PI控制器,并忽略电机本身的转速反馈影响,于是有速度环的框图。

直流电机的速度环框图
把延迟的积分环节融入控制环,速度环的开环传递函数为:

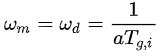
如果选取时间常数使用对称最优,那么只有当Ti,n>Tg,i时,系统才能稳定,否则开环传递函数的相位会有φK<-π。可以从伯德图中看出

直流电机速度环开环伯德图
那么如何求出合适的比例积分增益以及时间常数呢?
首先考察这个齐次项

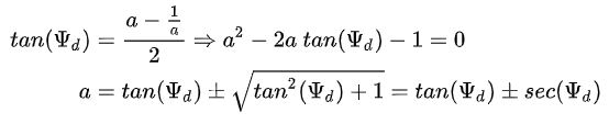
对其求导,可知其最大相角的频率为

设比例积分时间常数和电流环时间常数有关系Ti,n=a²Tg,i,则


反求出:

舍去负根,则:a=a(ψd)=tan(ψd)+sec(ψd)
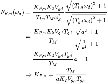
而开环传递函数的穿越频率可得|Fk,n(ωd)|=1 ,可求:

于是速度环开环传递函数为:

则速度环闭环传递函数为:

则闭环传递函数伯德图为:

直流电机速度环闭环伯德图
可见,穿越频率决定了带宽大小
直流电机的位置环反馈控制
最后考虑位置环的反馈控制,由于速度环形成的闭环控制回路已经近似具备低通滤波器的效果,因此考虑再进行一次一阶系统的简化近似

在位置环使用最简单的比例控制器,其开环传递函数为:

于是它的闭环传递函数为:

不过只使用比例控制器会有稳态误差,对转子位置角精度不严格要求的情况下可以这么设计。其闭环伯德图为

直流电机位置环闭环伯德图
最后,让我们综合一下前面所有的闭环控制,可以得到一张完整的嵌套式控制回路。

直流电机级联闭环控制结构(标出反馈环结构)
直流电机的控制相对来说比较简单,所有的控制结构都可以是线性系统,可以使用经典控制理论诠释和设计
东莞市天孚电机科技有限公司 版权所有