返回 行业资讯
直流电机在各行各业产品上非常多,一般直流电机由定子,转子和一个控制电路组成。直流电机是常见是电机,通入电流为直流电,所以直流电机只需要直流电机,可以电池直接驱动,所以微型的直流电机在电动玩具、个人护理、电子锁等产品上广泛应用。
在直流电机应用中,有无刷电机与有刷电机之分,直流电机的定子上一般是励磁极,用刚铸成极芯,极芯会缠绕上通入恒流直流电的励磁绕组。一个极一段突出的U型环面叫做极靴,它是用来增大磁通面积,减小主磁场以外的漏磁,在极靴和转子之间有一个很窄的缝隙,叫做气隙,它一般在0.3mm-10mm左右。定子剩下的部分称为机座轭,它可以用来传导励磁磁场,使磁路主要留在电机内部。
直流电机的转子上一般会缠绕很多线圈并通电,所以往往又叫做电枢,电枢的线圈绕组即电枢绕组,电枢中心是用很多涂层过的硅钢片叠在一起,这样就可以避免在励磁场中旋转时出现的较大涡流。硅钢片上有很多绕线用的槽,当硅钢片叠成一个完整叠片铁芯,就可以把电枢线圈均匀绕在上面了。所有电机的线圈绕组上的导线一般都是铜线,且做过表面绝缘处理,防止相互短路。
电枢通过两端的轴承固定在定子底座上,它的一端连接着转轴,用以输出转矩,另一侧则会连着换向器。它由两部分组成,电刷以及导电环。定子上的导电刷(比如碳刷)被弹簧压在转子上所有接出线圈导线端的导电环,两部分是完全独立分离的,仅在旋转时相互摩擦接触,用以构成回路,给电枢通电。体积较大,功率也很大的直流电机上会装上风扇,一般也是从定子回路中直接引线出来供电。
直流电机电枢转子
刚开始电枢不通电,定子励磁绕组通励磁电流
以后就会在电机内部形成一条从励磁极
到轭,到另一极,再到气隙,到电枢,再通过气隙返回
的磁路。
直流电机的运行原理
直流电机的基本运行原理可以理解为日常生活中的磁铁的同性相斥,异性相吸。一段线圈绕组通电后自然在铁芯上产生一个磁极,这个磁极和外部磁场作用,就有了吸引力和排斥力,所以除了电枢绕组产生的等效电磁铁还必须要在外部有一个恒定磁场。这个恒定磁场一般都由定子的励磁绕组通电产生磁场来提供。也就是定子励磁产生的电磁铁和转子通电产生的电磁铁相互作用,施加作用力,推动转子不停运动。如果用永磁体,也可以达到同样的励磁效果,所以原理上励磁绕组可以用永磁体等效替代。
关于直流电机励磁磁场的假设
为了使复杂的磁场变化过程的问题简单一些,可以做出一些合理的假设:铁芯磁导率
,也就是说,励磁在电机钢铁部分是可以忽略不计的,
气隙δ 在极靴下保持大小不变在气隙处的漏磁是可以忽略的(包括槽漏磁和端漏磁)在上述假设下,磁通只在一个确定的磁路里运行,磁场线只会从极靴和气隙垂直方向进出。气隙里则是由一个磁通密度恒定,完全的中心辐散场主导。并且在极靴没覆盖到的地方,极缺口是可以认为无场的。
先不考虑换向器,计算一条磁场线上的磁动势,此时由于上述假设,有效磁路只包含两段气隙长度
![]()
上图为在整个截面上分布的气隙磁通密度的大小和不同位置角度的关系。
是极宽,
是划分一段极的距离,即极距。在给定了各种假设的理想情况是红色虚线,实际情况黑色实线,可见除了边缘处,基本符合,可见这个假设是很合理的。
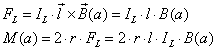
转子圆周表面加一根电枢线圈上的一段通电导体,电流大小为
,这段被考察的电枢导体和起始线夹角为a,因为导体总在气隙中和磁通密度垂直,那么在这个在电枢半径为r的导体上应当受到安培力
和转矩M(a)

在其他参数恒定情况下,因为转矩现在跟角度位置有关,显然,转矩和角度的关系与磁通密度和角度的关系只是倍数关系,从而可知,在
的地方转矩为正;
的地方(极缺口),亦为零;
的地方,转矩也为负。如此电枢在旋转的时候就会出现周期逆转的转矩,无法持续稳定运动。
引入换向器的妙处
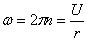
当电枢在电机中是匀速转动的时候,其角速度为ω,电枢转子最大半径上的线速度为U ![]()
![]()
因为它在励磁磁场中转动时切割磁感线,所以电枢导体上会感应出电压ui,L
![]()
可见,如果匀速转动的话,电枢导体上感应出的电压和
也是关于角度a同样形状的。但是为了让直流电机作为电动机持续稳定工作,应该在电枢转动时让转矩始终为正。
一种可行的思路,就是让
始终保持同样的正负号,实现方法即,让电枢换极,即电流换向。换极可以通过换向器,在极缺口处执行,此处的感应电压ui,L=0,这样电压电流不需要突变。最简单的实现方式可以仅凭两个滑环和电刷构成一个换向器。

通过换极以后,在电枢导体上的感应电压也发生了相应变化,可见 ui,L≥0 。

通过换极,转矩虽然恒不为负了,但是在极缺口还会出现很大的空缺,也就是说,转矩产生了很大的脉动和突变冲击。想要获得更加连续稳定的转矩,需要多根电枢上的线圈导体串联且均匀分布在电枢圆周上。
三组线圈均匀分布,两两之间在空间上相差120°,所以分别独立贡献的转矩之和就会形成连续恒正的转矩涟波,可以想象,如果线圈和换向器越多,波动的峰谷差值就越小,而且更多错位布置的导体线圈就会让电枢有更高的利用率。
当然,在实际使用中,并不会放很多个相互无关的换向器,而是会把它们做成一束,有很多片。每个换向片会正好和两个线圈端相接触,以便于让线圈首尾串联。
如图线圈的导线端都被做成了一束,分在四个端上,黑色的电刷通入电枢电流
,从换向片1经由标红导线流通,在换向片3由另一个换向片流出。标黑的导线表示没有接通电流,但还被串联在一起。这种结构相当于,两电刷刷到换向片才会被通电,其他的换向片都是断路的。而如果一个线圈上使用多匝数而不只是一匝,那么就可以获得更大的转矩和更高的感应电压。
多极对数
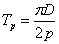
极对极数描述了一个电机的定子或者转子上总共有多少对极对(N,S)。直流电机的励磁极在定子上,如果极对极数为P,那么总极数为2P,那么极距就可以计
![]()
D为电机定子直径。如果引入p对极,那么转子机械运动一圈,定子上的极对就要变化P次。多对极的电机有很多优点,这样它的铁芯磁路就更短了,它的绕组头也更短了,设计的机座轭的横截面就可以更小,因为每极上的磁通更小了。缺点则是两极之间距离更短,就会带来更大的漏磁,这样在高频的电枢转动下(f=p·n)会有更大的能量损耗在铁芯上,即所谓的铁损。
绕组绕线方式
为了满足制造直流电动机的商业需求,需要尽可能均匀同形的转矩和电磁力,尽可能提高电动机利用效能,同时也要满足简易经济制造的需求。那么绕组绕线需要多匝线圈,电枢几何形状也要优化,换向器绕组就会专门使用一种鼓形绕线法。
线圈边会均匀在电枢外沿圆周上放入槽中,并且离气隙很近。每个线圈的线圈边会相互相隔差不多一个极距。
线圈边会在在电枢铁芯外通过绕组头相连,另一端的线圈边会通过弯钩状的端连接钩连接上换向片
每层总是会把线圈终端导向另一个线圈的开端
绕线槽和绕线技术
使用了槽,会有以下特点:
用槽来堆放绕组的话,气隙宽度的选择可与绕组尺寸无关;
槽可以机械固定绕组;
在很高转速时,应当使用槽封楔,防止绕组脱落;
转矩生成的力,总作用在槽齿上并且相比在导体上的总是更小,这就是接触面力;
常用的槽有开槽和半闭槽。使用开槽,可以让线圈先在电枢外绕起来,然后作为一个整件装入;使用半开槽,线圈必须直接在电枢上绕起来,不过半开槽可以带来更高的磁导能力,同时也会强化漏磁。
线圈绕组必须绝缘处理,绕组上的导线和导体棒必须相互绝缘,对其他线圈边绝缘,对槽壁也要绝缘。这样就要做好几层保护。绝缘保护也可以防水,防污。一般绝缘处理可以使用浸渍法或者用绝缘的树脂浸润。
令线圈边数为S,那么线圈数应该等于换向片数K,而槽数Q应该小于线圈边数,槽内每层线圈边数u ,每一个线圈的匝数
,电枢上总的导体数z,每个槽的导体数zQ,那么有

那么下面用一个极对极数 P=1 ,槽数Q=16,线圈匝数
的双层绕组举例。
线圈数/换向片数 K=Q·u=16×3=48
每槽导体数 ![]()
总导体数 ![]()
绕组简图
绕线的目的是为了让一组通电绕组在圆周上能够成功经过一对磁极,这样才可以产生力和转矩。对于多极对极数的直流电机来说,有不同的方式来实现换向片和线圈的闭合回路接线。
叠绕绕组法是一种并联绕线法,两侧线圈边每每接在一个极宽内直接相邻的换向片上,这意味着每个线圈都每每在输出极上终止。下图红色实线虚线围成的环就是一个线圈,它会与另一个线圈在换向片上并联,这样电流就可以通过换向片进入另一个线圈。下图左边的是线圈边不交叉的方式,右边的是线圈边交叉的方式。

在一个单道未交叉的叠绕绕组(Q=K=20,u=1,2p=4)上通入电流,那么这四个电刷中会导通的电枢支路和电流流向为
红色支路:4→5→6→7→8
绿色支路:3→2→1→20→19
蓝色支路:13→12→11→10→9
黑色支路:14→15→16→17→18
波形绕组法是一个串联绕线法,线圈边会每每在间隔约莫两个极宽的间距接上换向片,每个线圈会在下一个同极性的极上终止,接连接完一整圈的极对后,串联后的线圈会再度达到原初的极。
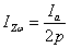
叠绕绕组法,一对电刷通电只能遍历一对极,p对极就需要p对电刷对。电刷都是同极性并联而接,在大型电机上使用大电流小电压,会有极数一样多的并联电枢支路,故每个支路通入电流强度为
。
波形绕组法,一对电刷通电,可以遍历所有极对。所以在理论上只需要一对电刷,但往往也会装上p对电刷对,电路终端电压会是叠绕绕组法的p倍,所以会在电机上输出较小的功率(有两个并联电枢支路时),在p对极对时会只有2个并联支路。